Why does a given fitness routine work great for some, but not for others? It seems like there's a lot of conflicting opinions out there.
Consider the following (apparent) contradictions:
Some people swear by high intensity interval training (HIIT) and report stellar fat loss and energy levels, while others knock it and say that steady-state cardio produces the best results.
A given athlete only works each muscle group once or twice a week with great results, but maybe there's a number of studies where the subjects made gains training the same muscles 4-5 times a week.
Some athletes on your team respond great to the program you gave them, while others show much less significant progress.
What gives? Why so much confusion and contradictory results? Who is right?
Oddly enough, everyone might be right.
One Size Does Not Fit All
How could everyone be right? Well, not everyone is right, but everyone is different. And because everyone is different, some things will work well for certain individuals, but not others.
This doesn't mean that all advice is good advice. You can't draw solid conclusions from people's anecdotal experiences, or just always assume that you are dealing with an exception to the rules.
Nevertheless, each athlete is unique, and everyone responds differently to athletic training based on genetics, age, sex, experience, and a number of other factors.
With our modern technology and understanding of human physiology, a one-size-fits-all approach just won't cut it anymore. It's simply irresponsible to generalize fitness outcomes from large groups of people and apply them to individual athletes.
The Bell Curve
Scientific research often uses statistics to find correlations and draw conclusions based on "averages" and "statistical significance." However, in many cases, individual responses to diet and exercise can vary dramatically, which is not captured by averages. As Nassim Taleb laments in his book, The Black Swan, we sometimes errantly rely on the standard bell curve to draw scientific conclusions.
Consider a hypothetical study where subjects did a steady-state cardio program. Assume that, on average, the hypothetical subjects lost 8 lbs over the course of the program. The results might be represented like this:

Based on these made up results, we might conclude that people "generally" lose weight by doing cardio. But this information might not be as helpful to people who fall just one or two standard deviations from the mean. The "low-responders" on the left might benefit more from something other than steady-state cardio, and the "extreme responders" on the right could get even more benefit with a bit of extra individualization.
Thus, in order to get the best results, you have to take an evidence-based approach, factor in individual variation, and apply the science of exercise and adaptation within the context of each unique situation. In other words, science will give you a good idea of where to start, but you often have to do some experimentation to learn what is optimal for individual athletes.
Variation in Individual Responses to Athletic Training
Let's take a look at a few examples to see just how much variation can exist between individuals.
Varying Effects of Cardio on Appetite
A group of researchers performed a meta-analysis to see if cardio induced people to eat more food than normal to compensate for the energy they burned during exercise. They concluded that "individuals tend not to compensate for the energy expended during exercise."
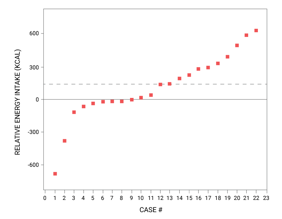
However, the results from another study revealed that there is quite a bit of variance in how much extra food people tend to eat after a cardio session. The chart below (adapted from the study) shows the variation in compensatory eating between individuals.

The dashed line represents the calories a person would have to eat in order to achieve perfect energy compensation (i.e., they ate exactly as many calories as they burned). As you can see, some people compensated for exercise by consuming way more calories than they burned, but others actually ate much less, which created a calorie deficit.
If you were to average all the points on the chart, you'd probably conclude that exercise doesn't affect appetite much for the average person. But if you're a person who gets really hungry after cardio, which some people obviously do, then an assumption about the "average" person is not helpful at all.
Varying Effects of Resistance Training on Muscle Size
Another study looked at the inter-individual variability in muscle response to resistance training. The researchers had fifty-three untrained young men perform progressive leg-extension training three times a week for 9 weeks. They measured the physiological cross-sectional area before and after the training regimen.
The graph below (adapted from the study) plots the change in PCSA between individuals in the study.

The average increase in muscle size among the participants was only 5%. However, the variation between individuals was huge. The highest responder achieved nearly a 20% increase in muscle size, but the lowest responder actually saw a 2.5% decrease in muscle size.
Once again, we can see how terribly short-sighted it is to make generalized fitness prescriptions based on averages. People are just different, so the best exercise program is the program that is individualized for each athlete.
What Factors Should Influence Athletic Training?
So what factors do we need to consider when deciding how to train? We don't know everything that contributes to variation between athletes, but we know enough to make individual adjustments that can make a real difference in program effectiveness. Below are some of the most important factors that should influence the design of an individualized exercise program.
How Experience Level Should Influence Training
An athlete's experience in a given sport, movement, or task, as well as their general fitness level, are important factors in personalized program design.
In the context of athletic training, "experience" doesn't necessarily mean skill or ability. It refers to an athlete's adaptive capacity and where they sit along the athletic performance curve.
Beginner athletes have more room to adapt than advanced athletes, which actually means they can progress faster. Advanced athletes, on the other hand, have already progressed to a point where they are starting to approach their genetic limitations.
This means that an individualized training routine has to employ appropriate volume, intensity, and frequency in order to induce adaptation at a pace that makes sense for the athlete. If you train above or below adaptive capacity, you'll likely achieve suboptimal performance improvements, and you run the risk of injury, overtraining, and regression.
How Age Should Influence Training
Exercise is extremely beneficial for people of all ages, and for the most part, there's no reason that people can't engage in rigorous exercise almost until the day they die.
However, our bodies do change as we get older:
Maximum heart rate and cardiac output decreases, which reduces oxygen delivery to the muscles;
Muscle mass decreases, particularly muscles of the Type II variety;
Your body becomes less resilient and takes longer to recover, which has implications for appropriate levels of volume, intensity, and recovery time.
By no means do these changes disqualify older athletes from training hard, but they also have to train smart. Fitness prescriptions should reflect the needs and capacity of the body's age.
By following an age-concious exercise routine, older athletes can reduce the chances of injuries, maximize performance gains, and resist the effects of aging.
How Gender Should Influence Training
Women are different than men (obviously). While many differences may be attributable to cultural and early childhood conditioning, the genetic and physiological differences between the two sexes are quite real.
To be clear, different does not mean inferior. In fact, research has shown that women have the same muscular potential as men. But because of the differences that exist, there are a few reasons that women should not train like men:
Women do better on a higher fat diet
Women do better with higher reps
Women can handle more volume
Women should do less explosive training
Women respond better to steady state cardio than HIIT
Women do better with a slower lifting tempo
Women tolerate metabolic stress better
Women don’t need as much rest between sets
Women can train with a greater training frequency
Women have a menstrual cycle that should influence training
Keep in mind, however, that while men and women typically have certain physiological characteristics and genetic tendencies, we have to be careful not to over-generalize. Some women (and men) will inevitably have divergent traits and/or more ambiguous responses than the "norm." Accordingly, the best approach is to use these principles as starting points, and then refine your approach from there.
How Genetics Should Influence Training
Genetics strongly influence the body's ability to lose fat, build muscle, increase strength, and improve endurance. However, the interaction between genes (nature) and environmental factors (nurture) is extremely complex. We only vaguely understand the influence of a limited number of genes and how they affect chemical processes in the body, let alone their expression given environmental circumstances.
Take the famous ACTN3 gene, for example. This gene tells the body how to make a protein called alpha (α)-actinin-3, which is mostly found in Type II muscle fibers. The 577RR genotype is usually considered a requirement to achieve elite sprinter status. However, one study found that 1 in 12 international-level sprinters had no working copies of this gene. So while ACTN3 certainly seems to be a major component of strength and speed, the presence (or absence) of a particular gene variant doesn't necessarily guarantee anything.
Nevertheless, genes can theoretically be used as a starting point in an individualized exercise program.
For example, this study attempted to find whether a training program tailored to an athlete's genetic profile could achieve higher performance gains. First, they did genetic testing on each athlete to determine whether they had a "power genotype" or an "endurance genotype." They then had the athletes follow an 8-week training program that was either high-intensity or low-intensity. Some of the subjects followed a program that was matched to their genotype, while the others followed a mismatched program.
The results of the study were somewhat promising. They found that the athletes who followed a program matched to their genotype realized significant performance improvements compared to the athletes who followed a genetically mismatched program. Their conclusion was that "using genetic profiling to better match individual genotype with appropriate training modality may be a powerful tool to aid more personalized... training." (One caveat to this study is that it was funded by DNAFit, a company that specializes in making genetic-based fitness recommendations).
Another study examined how the effects of training volume and training intensity differed between people with various versions of the ACE genotype. Their findings suggested "that ACE I-allele might be responsible for better response to high volume—low intensity muscular endurance training while D-allele might be related to better strength development with higher intensity—lower volume resistance training."
Many studies have also been conducted on the relationship between genetic markers and injury, recovery, and endurance.
At the end of the day, genes only account for some of the inter-individual variance in performance and potential. Exactly how much? We may never know. At the very least, it's clear that both nature and nurture combine to produce a variety of athletic traits and abilities.
The science is continually advancing, and we may yet have the ability to make highly accurate and beneficial recommendations based on DNA.
How Past Training Should Influence Future Training
Some say that the definition of insanity is doing the same thing over and over again while expecting different results each time. Don't fall into this category.
If training at high intensity five times a week makes athletes perpetually sore and drained with no gains to show for it, maybe you should consider training two or three times a week. Or maybe you should try higher volume and less intensity.
Even if you think genes or experience level would dictate a certain training protocol, an athlete's training history is probably the most important piece of "evidence" to use when formulating an individualized, evidence-based fitness program.
You should be tracking and measuring everything your athletes do (not just key performance indicators). This allows you to analyze cause and effect relationships between the work athletes are doing and the outcomes that result. Then you can play around with different variables to see how athletes respond to different types of stress and recovery periods.
Individualized Fitness
Individualized fitness prescriptions are extremely important. Simply following some workout regimen from a study or jumping on the latest fitness bandwagon is a suboptimal strategy. And just because research suggests that X causes Y, or because another team got stellar results from Z, that doesn't mean you should immediately follow suit.
The best approach is to determine how each individual athlete responds to various training variables, then to adjust your program accordingly. And that's exactly what we're building with FYTT: a strength and conditioning management platform that allows you build individualized programs at scale, then track and analyze what every athlete is doing and how they are responding.
Ultimately, the number of factors that contribute to individual variation is probably too large to realistically incorporate into a training program. This is partly because some of the variables are outside the realm of fitness programming—effects of work life, family life, social life, sleep quality, etc. All these things can and should influence training to some degree.
Additionally, you don't want to let a genetic test or other "predictive" factor determine an athlete's path or taint their expectations. Your beliefs influence your physiology directly, and they can materially impact training outcomes.
All that said, we can still optimize individual exercise programs by incorporating what we know to come up with a starting point. We can then experiment, measure the outcomes, and tweak the variables until we find the most optimal solution.
Conclusion
David Epstein, in his book, The Sports Gene, summarizes the point nicely:
If there is a lesson to be gleaned from this..., it’s that there is no one-size-fits-all training plan. If you suspect that you aren’t responding as well to a particular training stimulus as [someone else], you might be right. Rather than giving up, try something different.
Remember, no two athletes are the same. Each person is different, so let's stop giving everyone on the team the same prescriptions. Let's start prescribing individualized routines in a scalable, effective way.








